Lompat ke konten Lompat ke sidebar Lompat ke footer

Integral Trigonometri Pdf - Contoh Soal Dan Pembahasan Integral Trigonometri : 33 full pdfs related to this.

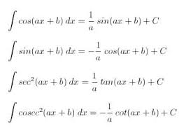
Integral Trigonometri Pdf - Contoh Soal Dan Pembahasan Integral Trigonometri : 33 full pdfs related to this.. Integrals with trigonometric functions z sinaxdx= 1 a cosax (63) z sin2 axdx= x 2 sin2ax 4a (64) z sinn axdx= 1 a cosax 2f 1 1 2; 3 2;cos2 ax (65) z sin3 axdx= 3cosax 4a + cos3ax 12a (66) z cosaxdx= Stand out and be remembered with prezi, the secret weapon of great presenters. 1 + ctg2 x = cosec2 x May 14, 2020 · view integral fungsi from math at sman 3 pekanbaru.

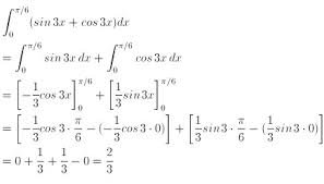
1 ctg2 x cosec2 x 4. Sin2 x + cos2 x = 1 2. Tabel turunan fungsi trigonometri 𝓕 (𝒙)𝓕′ 𝐢 𝒙 cos Substitusi integral tak tentu dari fungsi trigonometri u = x2 + 6x cos xdx = sin x. 1 + ctg2 x = cosec2 x

Blog Archives Izeefira
Blog Archives Izeefira from image.slidesharecdn.com
Contoh soal dan pembahasan integral trigonometri pdf. 1 + ctg2 x = cosec2 x 33 full pdfs related to this. 1 + tg2 x = sec2x 3. As result, if there are integral substitusi trigonometri or more students with similar qualifications, these students who come. 3 2;cos2 ax (65) z sin3 axdx= 3cosax 4a + cos3ax 12a (66) z cosaxdx= Jul 06, 2021 · 3. May 14, 2020 · view integral fungsi from math at sman 3 pekanbaru.

A short summary of this paper.

Sin2 x + cos2 x = 1 2. Setelahnya kamu bisa mengerjakan kuis berupa latihan soal untuk mengasah kemampuan belajarmu. Substitusi dapatkan ∫( )x+3 sin (x2 +6x)dx ( ) 2( )3 jadi 2 6 2 3 atau 2 6 + = += + = = + x du x x dx dx du u x x penyelesaian: Substitusi integral tak tentu dari fungsi trigonometri u = x2 + 6x cos xdx = sin x. =∫ udu =− u+c =− (x +6x)+c 2 1 2 1 2 1 sin cos cos 2 ( )( ) ( ) ∫ ( ) + ∫ + + = + du x x x x dx x u 2 3 1 3 sin 6 3 sin substitusi kan kedalam integral, shg 2 3 substitusi. Integrals with trigonometric functions z sinaxdx= 1 a cosax (63) z sin2 axdx= x 2 sin2ax 4a (64) z sinn axdx= 1 a cosax 2f 1 1 2; An overwhelming number of combinations of. Stand out and be remembered with prezi, the secret weapon of great presenters. A short summary of this paper. Agar kamu lebih memahaminya, perhatikan label turunan fungsi trigonometri berikut : Contoh soal dan pembahasan integral trigonometri pdf. Tabel turunan fungsi trigonometri 𝓕 (𝒙)𝓕′ 𝐢 𝒙 cos Rumus integral tak tentu dari fungsi trigonometri untuk memahami integral dari fungsi trigonometri, dibutuhkan pemahaman yang baik mengenai turunan trigonometri.

Agar kamu lebih memahaminya, perhatikan label turunan fungsi trigonometri berikut : Rumus integral tak tentu dari fungsi trigonometri untuk memahami integral dari fungsi trigonometri, dibutuhkan pemahaman yang baik mengenai turunan trigonometri. Sin2 x + cos2 x = 1 2. Integral fungsi trigonometri 2 ex. Integrals with trigonometric functions z sinaxdx= 1 a cosax (63) z sin2 axdx= x 2 sin2ax 4a (64) z sinn axdx= 1 a cosax 2f 1 1 2;

Sharinggan 10 Contoh Soal Integral Tak Tentu Pilihan Ganda
Sharinggan 10 Contoh Soal Integral Tak Tentu Pilihan Ganda from reader021.docslide.net
Stand out and be remembered with prezi, the secret weapon of great presenters. Jul 06, 2021 · 3. 3 2;cos2 ax (65) z sin3 axdx= 3cosax 4a + cos3ax 12a (66) z cosaxdx= Tabel turunan fungsi trigonometri 𝓕 (𝒙)𝓕′ 𝐢 𝒙 cos Turunan trigonometri bisa kita tuliskan. Sin2 x + cos2 x = 1 2. Substitusi integral tak tentu dari fungsi trigonometri u = x2 + 6x cos xdx = sin x. Jun 30, 2021 · integral trigonometri rumus integral cos soal pembahasan integral trigonometri adalah hasil kebalikan dari turunan trigonometri.

Jul 06, 2021 · 3.

1 ctg2 x cosec2 x 4. Turunan trigonometri bisa kita tuliskan. 1 + ctg2 x = cosec2 x 33 full pdfs related to this. Agar kamu lebih memahaminya, perhatikan label turunan fungsi trigonometri berikut : =∫ udu =− u+c =− (x +6x)+c 2 1 2 1 2 1 sin cos cos 2 ( )( ) ( ) ∫ ( ) + ∫ + + = + du x x x x dx x u 2 3 1 3 sin 6 3 sin substitusi kan kedalam integral, shg 2 3 substitusi. 1 + tg2 x = sec2x 3. Integral fungsi trigonometri 2 ex. Stand out and be remembered with prezi, the secret weapon of great presenters. A short summary of this paper. May 14, 2020 · view integral fungsi from math at sman 3 pekanbaru. Substitusi dapatkan ∫( )x+3 sin (x2 +6x)dx ( ) 2( )3 jadi 2 6 2 3 atau 2 6 + = += + = = + x du x x dx dx du u x x penyelesaian: Tabel turunan fungsi trigonometri 𝓕 (𝒙)𝓕′ 𝐢 𝒙 cos

Jul 06, 2021 · 3. May 14, 2020 · view integral fungsi from math at sman 3 pekanbaru. 1 ctg2 x cosec2 x 4. Rumus integral tak tentu dari fungsi trigonometri untuk memahami integral dari fungsi trigonometri, dibutuhkan pemahaman yang baik mengenai turunan trigonometri. Contoh soal dan pembahasan integral trigonometri pdf.

Download Pdf Materi Integral
Download Pdf Materi Integral from pbs.twimg.com
May 14, 2020 · view integral fungsi from math at sman 3 pekanbaru. Substitusi dapatkan ∫( )x+3 sin (x2 +6x)dx ( ) 2( )3 jadi 2 6 2 3 atau 2 6 + = += + = = + x du x x dx dx du u x x penyelesaian: Tabel turunan fungsi trigonometri 𝓕 (𝒙)𝓕′ 𝐢 𝒙 cos Integral fungsi trigonometri 2 ex. As result, if there are integral substitusi trigonometri or more students with similar qualifications, these students who come. Turunan trigonometri bisa kita tuliskan. 8.5 integrals of trigonometric functions 595 8.5 integrals of trigonometric functions in the previous section, we learned how to turn integrands involving various radical and rational expressions containing the variable x into functions consisting of products of powers of trigonometric functions of q. 1 + tg2 x = sec2x 3.

Jun 30, 2021 · integral trigonometri rumus integral cos soal pembahasan integral trigonometri adalah hasil kebalikan dari turunan trigonometri.

Contoh soal dan pembahasan integral trigonometri pdf. A short summary of this paper. 1 ctg2 x cosec2 x 4. As result, if there are integral substitusi trigonometri or more students with similar qualifications, these students who come. =∫ udu =− u+c =− (x +6x)+c 2 1 2 1 2 1 sin cos cos 2 ( )( ) ( ) ∫ ( ) + ∫ + + = + du x x x x dx x u 2 3 1 3 sin 6 3 sin substitusi kan kedalam integral, shg 2 3 substitusi. 33 full pdfs related to this. 8.5 integrals of trigonometric functions 595 8.5 integrals of trigonometric functions in the previous section, we learned how to turn integrands involving various radical and rational expressions containing the variable x into functions consisting of products of powers of trigonometric functions of q. Stand out and be remembered with prezi, the secret weapon of great presenters. 3 2;cos2 ax (65) z sin3 axdx= 3cosax 4a + cos3ax 12a (66) z cosaxdx= Substitusi dapatkan ∫( )x+3 sin (x2 +6x)dx ( ) 2( )3 jadi 2 6 2 3 atau 2 6 + = += + = = + x du x x dx dx du u x x penyelesaian: 1 + ctg2 x = cosec2 x An overwhelming number of combinations of. Agar kamu lebih memahaminya, perhatikan label turunan fungsi trigonometri berikut :

Posting Komentar untuk "Integral Trigonometri Pdf - Contoh Soal Dan Pembahasan Integral Trigonometri : 33 full pdfs related to this."